6675. Nonactin

Nomenclature

CAS number: 6833-84-7
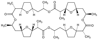
(1R,2R,5R,7R,10S,11S,14S,16S,19R,20R,23R,25R,28S,29S,32S,34S)-2,5,11,14,20,23,29,32-Octamethyl-4,13,22,31,37,38,39,40-octaoxapentacyclo-[32.2.1.17,10.116,19.125,28]tetracontane-3,12,21,30-tetrone.
C40H64O12; mol wt 736.93.
C 65.19%, H 8.75%, O 26.05%.

Description and references

Macrotetrolide antibiotic. Produced by several Streptomyces spp.: Corbaz et al., Helv. Chim. Acta 38, 1445 (1955); Wallh"ausser et al., Arzneim.-Forsch. 14, 356 (1964). Structure: Dominguez et al., Helv. Chim. Acta 45, 129 (1962). Crystal structure: Dobler, ibid. 55, 1371 (1972). Steroselective syntheses of nonactic acid, building block of nonactin: Gerlach, Wetter, ibid. 57, 2306 (1974); R. E. Ireland, J.-P. Vevert, J. Org. Chem. 45, 4260 (1980). Total synthesis of (+)- and (-)-nonactic acids: eidem, Can. J. Chem. 59, 572 (1981). Synthesis of nonactin: Gombos et al., Monatsh. Chem. 106, 1043 (1975); eidem, Tetrahedron Lett. 1975, 3391; Gerlach et al., Helv. Chim. Acta 58, 2036 (1975); U. Schmidt et al., Ber. 109, 2628 (1976). Three homologs, monactin, C41H66O12, dinactin, C42H68O12, and trinactin, C43H70O12 are known: Beck et al., Helv. Chim. Acta 45, 620 (1962); Gerlach, Prelog, Ann. 669, 121 (1963). Activity of nonactin and its homologues: Meyers et al., J. Antibiot. 18A, 128 (1965). Biosynthesis study: J. E. Cox, N. D. Priestley, J. Am. Chem. Soc. 127, 7976 (2005).

Chemical structure

Properties

Needles from methanol, mp 147-148°. uv max (ethanol): slight peak at 264 nm (log ε 1.5). Remarkably inert to chemical compds.