6689. Norcholanic Acid

Nomenclature

CAS number: 511-18-2
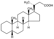
(5β)-24-Norcholan-23-oic acid.
C23H38O2; mol wt 346.55.
C 79.71%, H 11.05%, O 9.23%.

Description and references

Prepn from ethyl cholanate: Wieland et al., Z. Physiol. Chem. 161, 80 (1926); from 3,7-diketonorcholanic acid: Windaus, van Schoor, ibid. 173, 312 (1928); from 12-ketonorcholanic acid: Cook, Haslewood, J. Chem. Soc. 1934, 428; from 3α,23-dihydroxycholanic acid: Yanuka et al., Tetrahedron Lett. 1968, 1725.

Chemical structure

Properties

Needles from acetic acid, mp 177°.

Derivative

Methyl ester.
C24H40O2; mol wt 360.57.
C 79.94%, H 11.18%, O 8.87%.

Properties

Needles from methanol, mp 74°.

Derivative

Ethyl ester.
C25H42O2; mol wt 374.60.
C 80.16%, H 11.30%, O 8.54%.

Properties

Prisms from alcohol, mp 67°.