6819. Okadaic Acid

Nomenclature

CAS number: 78111-17-8
9,10-Deepithio-9,10-didehydroacanthifolicin; halochondrine A.
C44H68O13; mol wt 805.00.
C 65.65%, H 8.51%, O 25.84%.

Description and references

First ionophoric polyether identified in marine organisms; isolated from marine black sponges, Halichondria (okadai or melanodocia). Tumor promoting cytotoxin associated with diarrhetic seafood poisoning. Isoln: K. Tachibana et al., J. Am. Chem. Soc. 103, 2469 (1981). Total synthesis: M. Isobe et al., Tetrahedron 43, 4767 (1987). Contractile effects: S. Shibata et al., J. Pharmacol. Exp. Ther. 223, 135 (1982). Inhibition of protein phosphatases: A. Takai et al., FEBS Lett. 217, 81 (1987); C. Bialojan, A. Takai, Biochem. J. 256, 283 (1988). Tumor promoting activity: M. Suganuma et al., Proc. Natl. Acad. Sci. USA 85, 1768 (1988). Review of mechanism of action and use as a probe for cellular regulation: P. Cohen et al., Trends Biochem. Sci. 15, 98-102 (1990); A. Sch"onthal, New Biol. 4, 16-21 (1992). Review of tumor promoting activity: H. Fujiki, M. Suganuma, J. Biochem. 115, 1-5 (1994).

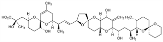
Chemical structure

Properties

Crystals from dichloromethane/hexane, mp 171-175°. [α]D20 +21° (c = 0.33 in CHCl3). Also reported as crystals from benzene-CHCl3, mp 164-166°. [α]D25 +25.4° (c = 0.24 in CHCl3). LD50 i.p. in mice: 192 μg/kg (Shibata).

Use

Biochemical tool as tumor promoter and probe of cellular regulation.