6835. Olivanic Acids

Description and references

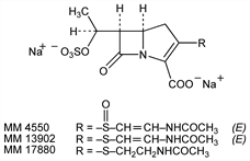
A family of naturally occurring carbapenem β-lactamase inhibitors with antibacterial activity, produced by Streptomyces olivaceus: D. Butterworth, G. N. Rolinson, DE 2146400; eidem US 3919415 (1972, 1975 both to Beecham). Isoln: A. G. Brown et al., J. Antibiot. 29, 668 (1976). The family contains seven members, all containing the 7-oxo-1-azabicyclo[3.2.0]hept-2-ene ring system. Compounds MM 4550, MM 13902, and MM 17880 are sulfated and are predominant when S. olivaceus is grown in sodium sulfate-containing media. MM 22380, MM 22381, MM 22382, MM 22383 are non-sulfated hydroxy analogs and are produced in sulfate-free media or by mutants of S. olivaceus unable to complete the sulfation process. Detection, properties, fermentation of the sulfated members: D. Butterworth et al., ibid. 32, 287 (1979); isoln, characterization: J. D. Hood et al., ibid. 295. Fermentation, isoln, characterization of the non-sulfated members: S. J. Box et al., ibid. 1239. Structures of MM 4550, MM 13902: A. G. Brown et al., Chem. Commun. 1977, 523; of MM 17880: D. F. Corbett et al., ibid. 953. Structures of MM 22380-3: A. G. Brown et al., J. Antibiot. 32, 963 (1979). Total synthesis of racemic MM 22383: R. J. Ponsford, R. Southgate, Chem. Commun. 1980, 1085. Comparative antibacterial activity in vitro: M. J. Basker et al., J. Antibiot. 33, 878 (1980). MM 22380, MM 22382, MM 22381, MM 22383, MM 13902, and MM 17880 are identical to epithienamycins A through F, respectively, cf. E. O. Stapley et al., ibid. 34, 628 (1981); P. J. Cassidy et al., ibid. 637. Synthetic study on epithienamycins: T. Kametani et al., J. Chem. Soc. Perkin Trans. 1 1981, 3048.

Chemical structure

Properties

MM 4550, MM 13902, MM 17880 are isolated as disodium salts. Sol in water, methanol, DMF, DMSO. Practically insol in other organic solvents. uv max (water): of MM 4550: 240, 287 nm (E1%1cm 268); MM 13902: 227, 307 nm (E1%1cm 356); MM 17880: 298 nm (E1%1cm 192). The antibiotics are unstable in aq soln outside a narrow pH range; in acids, degradation leads to changes in uv spectra. Addition of hydroxylamine or cysteine to neutral solns results in rapid degradation.