6838. Olivomycins

Description and references

A mixture of antibiotics produced by Streptomyces olivoreticuli: Gauze et al., Antibiotiki 7, 34 (1962); Brazhnikova et al., ibid. 39. Similar to the chromomycins, q.v.: Berlin et al., Tetrahedron Lett. 1966, 1643. Prepn: Gauze, GB 1152748; FR 1554600 (1969, both to Sci. Res. Inst. Antibiot.), C.A. 71, 37490b, 128693m (1969). Composed of olivomycins A (major component), B, C, and D. Separation: Berlin et al., Khim. Prir. Soedin. 1967, 331, C.A. 68, 40017w (1968). Structural elucidation of the aglycone, olivin, and the carbohydrate moieties: Berlin et al., Tetrahedron Lett. 1964, 1323; 1966, 1431; Berlin et al., Khim. Prir. Soedin. 1969, 567, C.A. 73, 25823r (1970). Stereochemistry: Bakhaeva et al., Chem. Commun. 1967, 10; Berlin et al., Khim. Prir. Soedin. 1972, 519. Revised structure: J. Thiem, B. Meyer, Tetrahedron 37, 551 (1981). Synthetic studies: J. H. Dodd, S. M. Weinreb, Tetrahedron Lett. 1979, 3593; J. H. Dodd et al., J. Org. Chem. 47, 4045 (1982). Series of articles on pharmacology: Antibiotiki 17 (1972). Toxicity data: M. Slavik, S. K. Carter, Adv. Pharmacol. Chemother. 12, 1 (1975). Review: J. D. Skarbek, M. K. Speedie, in Antitumor Compounds of Natural Origin vol. 1, A. Aszalos, Ed. (CRC Press, Boca Raton, 1981) pp 191-235.

Chemical structure

Derivative

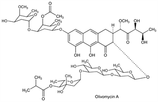
Olivomycin A.

Nomenclature

CAS number: 6988-58-5
3D-O-[2,6-Dideoxy-3-C-methyl-4-O-(2-methyl-1-oxopropyl)-α-l-arabino-hexopyranosyl]olivomycin D.
C58H84O26; mol wt 1197.27.
C 58.18%, H 7.07%, O 34.74%.

Properties

Formerly known as olivomycin and variant I. Yellow crystals from ethanol-hexane, mp 160-165°. [α]D20 -36° (c = 0.5 in ethanol). uv max (ethanol): 228, 277, 318, 406 nm (log ε 4.39, 4.67, 3.81, 4.05). Sol in alc, ether, chloroform. Insol in benzene, carbon tetrachloride, petr ether, water. LD50 i.v. in mice: 13.75 mg/kg (Slavik, Carter).

Therapeutic Category

Antineoplastic.