6869. Orlistat

Nomenclature

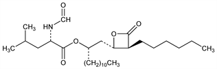
CAS number: 96829-58-2
N-Formyl-l-leucine (1S)-1-[[(2S,3S)-3-hexyl-4-oxo-2-oxetanyl]methyl]dodecyl ester; N-formyl-l-leucine ester with (3S,4S)-3-hexyl-4-[(2S)-2-hydroxytridecyl]-2-oxetanone; (-)-tetrahydrolipstatin; orlipastat; Ro-18-0647; alli (GSK); Xenical (Hoffmann-La Roche).
C29H53NO5; mol wt 495.73.
C 70.26%, H 10.78%, N 2.83%, O 16.14%.

Description and references

Pancreatic lipase inhibitor. Isoln from fermentation broth of Streptomyces toxytricini: P. Hadvary et al., EP 129748; eidem, US 4598089 (1985, 1986 both to Hoffmann-LaRoche). Structural elucidation: E. Hochuli et al., J. Antibiot. 40, 1086 (1987). Synthesis and absolute configuration: P. Barbier, F. Schneider, Helv. Chim. Acta 70, 196 (1987). Total synthesis: S. Hanessian et al., J. Org. Chem. 58, 7768 (1993). Mechanism of action: B. Borgstr"om, Biochim. Biophys. Acta 962, 308 (1988). Clinical pharmacology: J. B. Hauptman et al., Am. J. Clin. Nutr. 55, 309S (1992). Clinical trial: M. H. Davidson et al., J. Am. Med. Assoc. 281, 235 (1999). Review of pharmacology and clinical efficacy in treatment of obesity: W. McNeely, P. Benfield, Drugs 56, 241-249 (1998). Evaluation of long-term efficacy and tolerability: J. Hauptman et al., Arch. Fam. Med. 9, 160 (2000).

Chemical structure

Properties

Crystals, mp 43°. [α]D20 -32.0° (c = 1 in chloroform).

Therapeutic Category

Antiobesity agent.

Keywords

Antiobesity Agent