6904. Oxacillin

Nomenclature

CAS number: 66-79-5
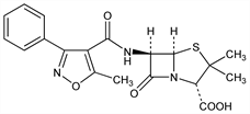
(2S,5R,6R)-3,3-Dimethyl-6-[[(5-methyl-3-phenyl-4-isoxazolyl)carbonyl]amino]-7-oxo-4-thia-1-azabicyclo[3.2.0]heptane-2-carboxylic acid; 5-methyl-3-phenyl-4-isoxazolylpenicillin; 6-(5-methyl-3-phenyl-2-isoxazoline-4-carboxamido)penicillanic acid; oxazocilline.
C19H19N3O5S; mol wt 401.44.
C 56.85%, H 4.77%, N 10.47%, O 19.93%, S 7.99%.

Description and references

Semi-synthetic antibiotic related to penicillin. Prepn: Doyle, Nayler, US 2996501 (1961); Doyle et al., Nature 192, 1183 (1961). Toxicity: E. I. Goldenthal, Toxicol. Appl. Pharmacol. 18, 185 (1971).

Chemical structure

Derivative

Sodium salt monohydrate.

Nomenclature

CAS number: 7240-38-2
Penicillin P-12; sodium oxacillin; BRL-1400; Bactocill (SKB); Bristopen (BMS); Cryptocillin (Hoechst); Micropenin (Kabi); Penstapho (BMS); Prostaphlin (Apothecon); Stapenor (Bayer).
C19H18N3NaO5S.H2O; mol wt 441.43.
C 51.70%, H 4.57%, N 9.52%, Na 5.21%, O 21.75%, S 7.26%.

Properties

Crystals from isopropanol mp 188° (dec). [α]D20 +201° (c = 1 in water). LD50 orally in rats: >8000 mg/kg (Goldenthal).

Therapeutic Category

Antibacterial.

Therapeutic Category (Veterinary)

Antibacterial.

Keywords

Antibacterial (Antibiotics); β-Lactams; Penicillins