6920. Oxamyl

Nomenclature

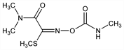
CAS number: 23135-22-0
2-(Dimethylamino)-N-[[(methylamino)carbonyl]oxy]-2-oxoethanimidothioic acid methyl ester; N′,N′-dimethyl-N-[(methylcarbamoyl)oxy]-1-thiooxamimidic acid methyl ester; N,N-dimethyl-α-methylcarbamoyloxyimino-α-(methylthio)acetamide; methyl 1-(dimethylcarbamoyl)-N-(methylcarbamoyloxy)thioformimidate; thioxamyl; DPX-1410; Vydate (DuPont).
C7H13N3O3S; mol wt 219.26.
C 38.34%, H 5.98%, N 19.16%, O 21.89%, S 14.62%.

Description and references

Prepn: J. B. Buchanan, ZA 6803629; eidem, US 3530220, and US 3658870 (1968, 1970, 1972 all to du Pont). Decompn: J. Harvey, Jr., J. Han, J. Agric. Food Chem. 26, 536 (1978). Metabolism: eidem, ibid. 902; J. Harvey, Jr. et al., ibid. 529. Toxicity study: M. Fahmy et al., J. Agric. Food Chem. 26, 550 (1978).

Chemical structure

Properties

Crystalline solid, slight sulfurous odor. mp 100-102°, changing to a different crystalline form, mp 108-110°. Soly in g/100 ml at 25°: water 28; acetone 67; ethanol 33; 2-propanol 11; methanol 144; toluene 1. LD50 orally in rats: 5 mg/kg (Fahmy).

Caution

Toxic to wildlife, fish, bees.

Use

Insecticide, nematocide, acaricide.