6965. Oxymesterone

Nomenclature

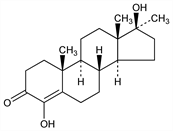
CAS number: 145-12-0
(17β)-4,17-Dihydroxy-17-methylandrost-4-en-3-one; 4,17β-dihydroxy-17α-methyl-3-oxoandrost-4-ene; 4-hydroxy-17α-methyltestosterone; 17α-methyl-4-androstene-4,17β-diol-3-one; oxymestrone; Anamidol (Iwaki); Oranabol (Farmitalia); Theranabol.
C20H30O3; mol wt 318.45.
C 75.43%, H 9.50%, O 15.07%.

Description and references

Prepn: GB 848288; Camerino et al., US 3060201 (1960, 1962 to Farmitalia).

Chemical structure

Properties

Crystals, mp 169-171°. [α]D20 +69° (ethanol). uv max (ethanol): 278 nm (E1%1cm 406). Practically insol in water. Sol in chloroform, acetone, alcohol.

Note

This is a controlled substance (anabolic steroid): 21 CFR, 1308.13, as defined in 1300.01.

Therapeutic Category

Androgen; anabolic.

Keywords

Anabolic; Androgen