7000. Pamabrom

Nomenclature

CAS number: 606-04-2
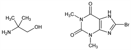
8-Bromo-3,7-dihydro-1,3-dimethyl-1H-purine-2,6-dione compd with 2-amino-2-methyl-1-propanol (1:1); 8-bromotheophylline compd with 2-amino-2-methyl-1-propanol (1:1); 2-amino-2-methyl-2-propanol 8-bromotheophyllinate.
C11H18BrN5O3; mol wt 348.20.
C 37.94%, H 5.21%, Br 22.95%, N 20.11%, O 13.78%.

Description and references

Prepn from 2-amino-2-methyl-1-propanol and 8-bromotheophylline: J. M. Holbert, I. W. Grote, US 2711411 (1955 to Chattanooga Med.). Prepn and diuretic activity: J. M. Holbert et al., J. Am. Pharm. Assoc. Sci. Ed. 44, 355 (1955).

Chemical structure

Properties

Fine white powder, dec 300°. Soly in water >30 g/100 ml at 25°. pH of satd aq soln 8.0-8.5.

Derivative

Mixture with acetaminophen and pyrilamine maleate.

Nomenclature

Midol PMS (Miles); Premsyn PMS (Chattem); Sunril (Emko).

Therapeutic Category

Diuretic.

Keywords

Diuretic; Purines