7196. Phalloidin

Nomenclature

CAS number: 17466-45-4
Phalloidine.
C35H48N8O11S; mol wt 788.87.
C 53.29%, H 6.13%, N 14.20%, O 22.31%, S 4.06%.

Description and references

Best known of the toxins isolated from the poisonous green fungus Amanita phalloides (Fr.) Seer., Agaricaceae, known as “the green death cap” or “deadly agaric”: Lynen, Wieland, Ann. 533, 93 (1938). Structure: Wieland, Sch"on, ibid. 593, 157 (1955); Wieland, Sch"opf, ibid. 626, 174 (1959); Wieland, Schnabel, ibid. 657, 225 (1962). Differs from amanitin in rapidity of action; at high dose levels, death of mice or rats occurs within 1 or 2 hours. Phalloidin acts by binding actin, q.v., an essential internal structural protein. Ultrastructural pathology: M. A. Russo et al., Am. J. Pathol. 109, 133 (1982). Toxicity study: Vogt, Arch. Exp. Pathol. Pharmakol. 190, 406 (1938). Review of the chemistry and toxicology of the toxins of Amanita phalloides: Wieland, Wieland, Pharmacol. Rev. 11, 87-107 (1959); see also T. Wieland, Fortschr. Chem. Org. Naturst. 25, 214-250 (1967); T. Wieland, H. Faulstich, Crit. Rev. Biochem. 5, 185-260 (1978).

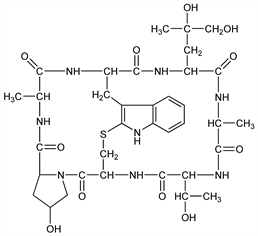
Chemical structure

Properties

Hexahydrate, needles from water, mp 280-282°. uv max (water): 295 nm (E1%1cm 0.597). Soly in water (0°): 0.5%; much more sol in hot water; freely sol in methanol, ethanol, butanol, pyridine. LD50 i.m. in albino mice: 3.3 μg/g (Vogt). LD50 i.p. in mice: 2 mg/kg (Wieland, Wieland).

Caution

See Amanitin.