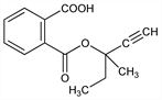
7374. Phthalofyne

Nomenclature

CAS number: 131-67-9
1,2-Benzenedicarboxylic acid mono(1-ethyl-1-methyl-2-propynyl) ester; phthalic acid 1-ethyl-1-methyl-2-propynyl ester; 1-ethyl-1-methyl-2-propynyl acid phthalate; 3-methyl-1-pentyn-3-yl acid phthalate; ftalofyne; NSC-25614; Whipcide.
C14H14O4; mol wt 246.26.
C 68.28%, H 5.73%, O 25.99%.

Description and references

Prepn: Sugimoto, Okumura, JP 54 1833 (1954 to Tanabe), C.A. 49, 11711e (1955); GB 736993 (1955 to Schering).

Chemical structure

Properties

Crystals from benzene or hexane, mp 96-98°. Weak acid. Slightly sol in water. Unstable in strong alkali.

Therapeutic Category (Veterinary)

Anthelmintic.