7566. Polyestradiol Phosphate

Nomenclature

CAS number: 28014-46-2
Estradiol phosphate polymer; PEP; Estradurin (Kabi).

Description and references

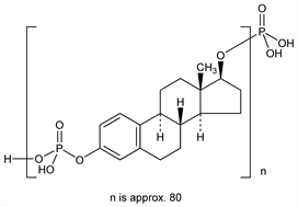
Polymeric ester of phosphoric acid and estradiol. Mol wt ≈26,000. Prepn: Diczfalusy, Endocrinology 54, 471 (1954); Fern"o et al., Acta Chem. Scand. 12, 1675 (1958); Diczfalusy et al., US 2928849 (1960 to AB Leo). Clinical pharmacology: P. O. Gunnarsson, B. J. Norlén, Prostate 13, 299 (1988). Clinical trial in prostatic carcinoma: J. Aro, ibid. 18, 131 (1991).

Chemical structure

Properties

Solid, mp 195-202°. Very sol in aq pyridine; sol in aq alkali; very slightly sol in ethanol, ethanol + water (1:1), water, dioxane, acetone, chloroform. Intrinsic viscosity [η] in 0.25M NaCl soln at pH 7.5 = 0.04.

Therapeutic Category

Antineoplastic (hormonal).

Keywords

Antineoplastic (Hormonal); Estrogens