7745. Primeverose

Nomenclature

CAS number: 26531-85-1
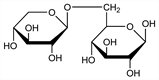
6-O-β-d-Xylopyranosyl-d-glucose; 6-(β-d-xylosido)-d-glucose.
C11H20O10; mol wt 312.27.
C 42.31%, H 6.46%, O 51.24%.

Description and references

By enzymatic hydrolysis of gaultherin (monotropitoside), primeverin, rhamnicoside and other glycosides: Goris, Vischniac, Compt. Rend. 169, 871 (1919); Bridel, ibid. 179, 991 (1924); Bridel, Charaux, ibid. 180, 857 (1925); Richter, J. Chem. Soc. 1936, 1701. Synthesis: Helferich, Rauch, Ber. 59, 2655 (1926); Ann. 455, 168 (1927); McCloskey, Coleman, J. Am. Chem. Soc. 65, 1778 (1943).

Chemical structure

Properties

Crystals from methanol or 80% alcohol. Darkens at 190°, mp 209-210° (copper block). Shows mutarotation. [α]D20 +23° → -3.2° (c = 5 in water). Sol in water, methanol, 80% alcohol. Is hydrolyzed to 1 mol d-glucose and 1 mol d-xylose by boiling 2% H2SO4 for 5 hrs. Reduces Fehling's soln slowly in the cold, instantly when hot.