7770. Profenofos

Nomenclature

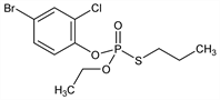
CAS number: 41198-08-7
Phosphorothioic acid O-(4-bromo-2-chlorophenyl) O-ethyl S-propyl ester; O-(4-bromo-2-chlorophenyl) O-ethyl S-propyl phosphorothioate; CGA-15324; OMS-2004; Curacron (Syngenta); Selecron (Syngenta).
C11H15BrClO3PS; mol wt 373.63.
C 35.36%, H 4.05%, Br 21.39%, Cl 9.49%, O 12.85%, P 8.29%, S 8.58%.

Description and references

Organophosphate insecticide for use in cotton and food crops; cholinesterase inhibitor. Prepn: E. Beriger, J. Drabek, BE 789937; eidem, US 3992533 (1973, 1976 both to Ciba-Geigy). Comprehensive description: F. Buholzer, Proc. 8th Br. Insectic. Fungic. Conf. 1975, 659-665. Resolution and biological activity of chiral isomers: H. Leader, J. E. Casida, J. Agric. Food Chem. 30, 546 (1982) DOI. Chromatographic determn of residue in potatoes: R. A. Habiba et al., ibid. 40, 1852 (1992) DOI; in tomatoes: S. M. M. Ismail et al., ibid. 41, 610 (1993) DOI; in tea: S. K. Pramanik et al., Bull. Environ. Contam. Toxicol. 74, 645 (2005) DOI PubMed. Effect on microbial flora of soil: A. Y. Abdel-Mallek et al., Microbiol. Res. 149, 167 (1994) PubMed. Toxicity to fish: A Kumar, J. C. Chapman, Environ. Toxicol. Chem. 17, 1799 (1998) DOI; M. Ismail et al., Bull. Environ. Contam. Toxicol. 82, 569 (2009) DOI PubMed.

Chemical structure

Properties

Slightly yellowish liquid. bp0.001 110°. d20 1.455 g/cc. Soly in water at 20°: 20 ppm. Misc with methanol, dichloromethane, benzene, hexane. Vapor pressure at 20°: ≈10-5 mm Hg. n20D 1.5466. LD50 in rat (mg/kg): 358-400 orally; ≈3300 dermally; LC50 (4 hr) in rat (mg/m3): ≈3000 by inhalation (Buholzer). LC50 (96 hr) in rainbow fish: 0.91 mg/l (Kumar, Chapman).

Use

Insecticide; acaricide.