L. Claisen, Ber. 45, 3157 (1912); L. Claisen, E. Tietze, ibid. 58, 275 (1925); 59, 2344 (1926).
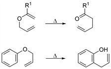
Highly stereoselective [3,3]-sigmatropic rearrangement of allyl vinyl or allyl aryl ethers to yield γ,δ-unsaturated carbonyl compounds or o-allyl substituted phenols, respectively:

When R′ = NR2, the reaction is referred to as the Eschenmoser-Claisen rearrangement: A. E. Wick et al., Helv. Chim. Acta 47, 2425 (1964); M. Lautens et al., Tetrahedron Lett. 31, 5829 (1990); B. Coates et al., ibid. 32, 4199 (1991).
When R′ = OR, the reaction is referred to as the Johnson-Claisen rearrangement: W. S. Johnson et al., J. Am. Chem. Soc. 92, 741 (1970); R. Bao et al., Synlett 1992, 217; D. Basavaiah, S. Pandiaraju, Tetrahedron Lett. 36, 757 (1995).
When R′ = OSiR3 or OLi, the reaction is referred to as the Ireland-Claisen rearrangement: R. E. Ireland, R. H. Mueller, J. Am. Chem. Soc. 94, 5897 (1972); R. E. Ireland et al., J. Org. Chem. 56, 650 (1991); idem et al., ibid. 3572; K. Hattori, H. Yamamoto, Tetrahedron 50, 3099 (1994).
Inclusive reviews: S. J. Rhoads, N. R. Raulins, Org. React. 22, 1-252 (1975); F. E. Ziegler, Chem. Rev. 88, 1423-1452 (1988); P. Wipf, Comp. Org. Syn. 5, 827-873 (1991); A. M. M. Castro, Chem. Rev. 104, 2939-3002 (2004). Cf. Carroll Rearrangement; Cope Rearrangement; Overman Rearrangement.