7863. Propyliodone

Nomenclature

CAS number: 587-61-1
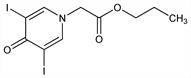
3,5-Diiodo-4-oxo-1(4H)-pyridineacetic acid propyl ester; 3,5-diiodo-4-pyridone-N-acetic acid propyl ester; propyl 3,5-diiodo-4-pyridone-N-acetate; propiodone; Dionosil (Glaxo).
C10H11I2NO3; mol wt 447.01.
C 26.87%, H 2.48%, I 56.78%, N 3.13%, O 10.74%.

Description and references

Prepn: Branscombe, GB 517382 (1940 to I.C.I.). Description: Tomich et al., Br. J. Pharmacol. 8, 166 (1953).

Chemical structure

Properties

Crystals, dec 186-187°. Slightly sol in saline, serum. Solubility in water at 15°: 0.014 g/100 ml; at 35°: 0.020 g/100 ml; at 95°: 0.020 g/100 ml. LD50 i.v. in mice: 300 mg/kg (Tomich).

Therapeutic Category

Diagnostic aid (radiopaque medium).

Keywords

Diagnostic Aid (Radiopaque Medium)