7874. Proscillaridin

Nomenclature

CAS number: 466-06-8
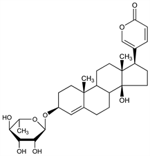
(3β)-3-[(6-Deoxy-α-l-mannopyranosyl)oxy]-14-hydroxybufa-4,20,22-trienolide; 14-hydroxy-3β-(rhamnosyloxy)bufa-4,20,22-trienolide; 3β-rhamnosido-14β-hydroxy-Δ4,20,22-bufatrienolide; proscillaridin A; desglucotransvaaline; scillarenin 3β-rhamnoside; Caradrin (AWD); Proscillan (Streuli); Purosin-TC (Tatsumi); Stellarid (GSK); Talusin (Abbott).
C30H42O8; mol wt 530.65.
C 67.90%, H 7.98%, O 24.12%.

Description and references

Prepn by acid cleavage of scillaren A: Stoll et al., Helv. Chim. Acta 16, 703 (1933); by enzymic decompn of glucoscillaren A with strophanthobiase: Stoll et al., ibid. 35, 2495 (1952); from Urginea burkei Baker, Liliaceae: Zoller, Tamm, ibid. 36, 1744 (1953); from U. (Scilla) maritima (L.) Baker, Liliaceae: G"orlich, Arzneim.-Forsch. 10, 770 (1960). Structure: Stoll et al., Helv. Chim. Acta 35, 1934 (1952). Pharmacology: Lenke, Brock, Arzneim.-Forsch. 20, 1 (1970). Metabolic studies: Davis et al., Arch. Int. Pharmacodyn. 177, 231 (1969); Nakano et al., ibid. 183, 199 (1970). Clinical studies: Several authors, Minerva Med. 58, 4243-4322 (1967). Toxicity study: E. I. Goldenthal, Toxicol. Appl. Pharmacol. 18, 185 (1971). Series of articles on prepn, pharmacology, toxicology, pharmacokinetics, metabolism of 4′-methyl ether: Arzneim.-Forsch. 28, 493-573 (1978).

Chemical structure

Properties

Prisms from methanol, mp 219-222°. [α]D20 -91.5° (CH3OH). LD50 in male, female rats (mg/kg): 56, 76 orally (Goldenthal).

Derivative

Proscillaridin-4-methyl ether.

Nomenclature

CAS number: 33396-37-1
Meproscillarin; Clift (Abbott).
C31H44O8; mol wt 544.68.
C 68.36%, H 8.14%, O 23.50%.

Properties

mp 213-217°. [α]D20 -94° (CH3OH). uv max (CH3OH): 297 nm (log ε 3.79), (1N KOH/CH3OH): 355 nm (log ε 4.65). Sol in methanol, ethanol, THF, dioxane; slightly sol in CHCl3, CH2Cl2, acetone. Practically insol in water, nonpolar organics.

Therapeutic Category

Cardiotonic.

Keywords

Cardiotonic