7880. Prostalene

Nomenclature

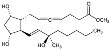
CAS number: 54120-61-5
(9α,11α,13E,15R)-(±)-9,11,15-Trihydroxy-15-methylprosta-4,5,13-trien-1-oic acid methyl ester; (±)-methyl-7-[3,5-dihydroxy-2-[(E)-3-hydroxy-3-methyl-1-octenyl]cyclopentyl]-4,5-heptadienoate; RS-9390; Synchrocept (Syntex).
C22H36O5; mol wt 380.52.
C 69.44%, H 9.54%, O 21.02%.

Description and references

Synthetic analog of prostaglandin F, q.v. Prepn: P. Crabbé, J. H. Fried, DE 2258668 corresp to US 3879438 (1973, 1975 both to Syntex). Use in induction of parturition in sows: W. Holtz et al., J. Anim. Sci. 49, 367 (1979). Pharmacodynamics in mares: R. G. Loy et al., J. Reprod. Fertil. Suppl. 27, 229 (1979).

Chemical structure

Therapeutic Category (Veterinary)

Luteolytic.