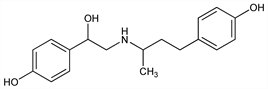
8092. Ractopamine

Nomenclature

CAS number: 97825-25-7
4-Hydroxy-α-[[[3-(4-hydroxyphenyl)-1-methylpropyl]amino]methyl]benzenemethanol; 1-(4-hydroxyphenyl)-2-[1-methyl-3-(4-hydroxyphenyl)-propylamino]ethanol; N-[2-(4-hydroxyphenyl)-2-hydroxyethyl]-1-methyl-3-(4-hydroxyphenyl)propylamine.
C18H23NO3; mol wt 301.38.
C 71.73%, H 7.69%, N 4.65%, O 15.93%.

Description and references

β-Adrenergic agonist; repartitioning agent. Prepn (stereochemistry unspecified): J. van Dijk, H. D. Moed, Rec. Trav. Chim. 92, 1281 (1973). Prepn of R,R-isomer: J. Mills et al., EP 7205 (1980 to Lilly). Prepd (not claimed): D. B. Anderson et al., US 4690951 (1987 to Lilly). LC determn in animal feeds: M. P. Turberg et al., J. AOAC Int. 77, 840 (1994). Metabolism and tissue residue studies: J. E. Dalidowicz et al., ACS Symp. Ser. 503, 234 (1992). Effect on growth, carcass characteristics and meat quality in swine: B. E. Uttaro et al., J. Anim. Sci. 71, 2439 (1993). Effect on β-receptor affinity and density in pigs: M. E. Spurlock et al., ibid. 72, 75 (1994).

Chemical structure

Derivative

Hydrochloride.

Nomenclature

CAS number: 90274-24-1
EL-737; LY-031537; Optaflexx (Elanco); Paylean (Elanco).
C18H23NO3.HCl; mol wt 337.84.
C 63.99%, H 7.16%, N 4.15%, O 14.21%, Cl 10.49%.

Properties

Mixture of 4 stereoisomers in approx equal proportions. Product containing 51% RR,SS- and 49% RS,SR-diastereomers, mp 124-129°.

Derivative

R,R-Form Hydrochloride.

Nomenclature

CAS number: 74432-68-1
Butopamine hydrochloride.

Properties

Crystals from ethanol + diethyl ether, mp 176-176.5° (dec). [α]D -22.7°; [α]365 -71.2° (c = 3.7 mg/ml in methanol).

Therapeutic Category (Veterinary)

Animal growth promotant.