8194. Rhodoviolascin

Nomenclature

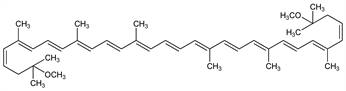
CAS number: 34255-08-8
3,3′,4,4′-Tetradehydro-1,1′,2,2′-tetrahydro-1,1′-dimethoxy-ψ,ψ-carotene; 3,3′,4,4′-tetradehydro-1,1′,2,2′-tetrahydro-1,1′-dimethoxylycopene; spirilloxanthin.
C42H60O2; mol wt 596.92.
C 84.51%, H 10.13%, O 5.36%.

Description and references

Carotenoid pigment isolated from Rhodovibrio and Thioceptis bacteria: Karrer, Solmssen, Helv. Chim. Acta 18, 1306 (1935). Identity with spirilloxanthin: Zechmeister et al., Arch. Biochem. 5, 243 (1944). Structure: Karrer, Koenig, Helv. Chim. Acta 23, 460 (1940); Barber et al., Proc. Chem. Soc. London 1959, 96. Synthesis: Surmatis, Ofner, J. Org. Chem. 28, 2735 (1963); Surmatis, US 3160658 (1964 to Hoffmann-La Roche).

Chemical structure

Properties

Dark red, spindle-shaped crystals from benzene, mp 218°. Absorption max (chloroform): 544, 507, 476 nm. Almost insol in petr ether, ligroin, methanol, somewhat more sol in hot benzene.