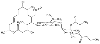
8250. Rokitamycin

Nomenclature

CAS number: 74014-51-0
Leucomycin V 4B-butanoate 3B-propanoate; 3″-propionylleucomycin A5; 5-[O-(2,6-dideoxyhexopyranosyl)-(1→4)-3,6-dideoxy-3-dimethylamino-β-d-glucopyranosyloxy]-6-formylmethyl-3,9-dihydroxy-4-methoxy-8-methyl-10,12-hexadecadien-15-olide; rikamycin; M-19-Q; TMS-19Q; Ricamycin (Toyo Jozo); Rokital (Formenti).
C42H69NO15; mol wt 827.99.
C 60.92%, H 8.40%, N 1.69%, O 28.98%.

Description and references

Macrolide antibiotic active against Mycoplasma and macrolide resistant strains of Staphylococcus aureus and Streptococcus pyogenes. Prepn: H. Sakakibara et al., DE 2918954 corresp to US 4242504 (1979, 1980 both to Toyo Jozo); eidem, J. Antibiot. 34, 1001 (1981). Series of articles on antibacterial activity, pharmacology, metabolism, toxicology: Chemotherapy (Tokyo) 32, Suppl. 6, 1-627 (1984). Toxicity data: K. Matsumoto et al., ibid. 138.

Chemical structure

Properties

mp 116°. [α]D20 -71° (c = 1.0 in chloroform). uv max (ethanol): 232 nm (ε 28000).

Therapeutic Category

Antibacterial.

Keywords

Antibacterial (Antibiotics); Macrolides