8262. Rose Bengal

Nomenclature

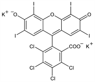
CAS number: 632-68-8
4,5,6,7-Tetrachloro-3′,6′-dihydroxy-2′,4′,5′,7′-tetraiodospiro[isobenzofuran-1(3H),9′-[9H]xanthen]-3-one dipotassium salt; 4,5,6,7-tetrachloro-2′,4′,5′,7′-tetraiodofluorescein dipotassium salt; C.I. Acid Red 94; Rose Bengale B; C.I. 45440.
C20H2Cl4I4K2O5; mol wt 1049.85.
C 22.88%, H 0.19%, Cl 13.51%, I 48.35%, K 7.45%, O 7.62%.

Description and references

Discovered by Gnehm 1882; tetraiodinate of 4,5,6,7-tetrachlorofluorescein (from resorcinol and tetrachlorophthalic anhydride) converted to potassium salt: Colour Index vol. 4 (3rd ed., 1971) 4428. Labeling with 131I: Liebster, Andrysek, Nature 184, 913 (1959). See also: H. J. Conn's Biological Stains, R. D. Lillie, Ed., (Williams & Wilkins, Baltimore, 9th ed., 1977) p 350. Diagnostic use in hepatic function: K. S. Nijran, D. C. Barber, Phys. Med. Biol. 31, 563 (1986).

Chemical structure

Properties

Bright bluish pink. Soluble in water (bluish red without fluorescence); brown soln in concd H2SO4, on dilution gives flesh pink ppt.

Derivative

Disodium salt.

Nomenclature

CAS number: 632-69-9
Rose Bengal Extra.
C20H2Cl4I4Na2O5; mol wt 1017.64.
C 23.61%, H 0.20%, Cl 13.94%, I 49.88%, Na 4.52%, O 7.86%.

Derivative

131I-Labeled disodium salt.

Nomenclature

CAS number: 50291-21-9
Sodium rose bengal I 131; rose bengal sodium I 131; Robenogatope I-131 (BMS).

Note

C.I. Acid Red 94 and C.I. 45440 also used for disodium salt.

Use

As a dye, biological stain; in coloring straw, wood chips, and inks; for coloring edible products and cosmetics.

Therapeutic Category

Diagnostic aid (corneal trauma indicator). Sodium Rose Bengal I 131 as diagnostic aid (hepatic function).

Keywords

Diagnostic Aid