8269. Rostaporfin

Nomenclature

CAS number: 284041-10-7
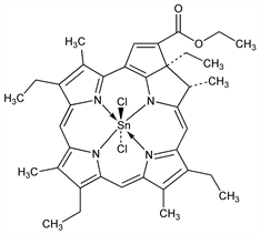
(OC-6-13)-Dichloro[rel-ethyl (18R,19S)-3,4,20,21-tetradehydro-4,9,14,19-tetraethyl-18,19-dihydro-3,8,13,18-tetramethyl-20-phorbinecarboxylato(2-)-κN23N24N25N26]tin; SnET2; tin ethyl etiopurpurin dichloride; tin etiopurpurin dichloride; Photrex (Miravant); Purlytin (Pharmacia & Upjohn).
C37H42Cl2N4O2Sn; mol wt 764.37.
C 58.14%, H 5.54%, Cl 9.28%, N 7.33%, O 4.19%, Sn 15.53%.

Description and references

Metallopurpurin photosensitizer for photodynamic therapy. Prepn: A. R. Morgan et al., SPIE 847, 172 (1987); eidem, Cancer Res. 48, 194 (1988). Pharmacokinetics in dogs and rats: D. L. Frazier et al., J. Vet. Pharmacol. Ther. 15, 275 (1992). Intracranial tissue uptake and specificity: L. Lilge, B. C. Wilson, J. Clin. Laser Med. Surg. 16, 81 (1998). Photophysical properties: B. W. Pogue et al., Photochem. Photobiol. 68, 809 (1998). Clinical evaluation in cutaneous metastatic breast cancer: T. S. Mang et al., Cancer J. Sci. Am. 4, 378 (1998). Review of clinical development in wet age-related macular degeneration: D. W. C. Hunt, IDrugs 5, 180-186 (2002).

Chemical structure

Properties

Crystals from dichloromethane:methanol(10:1). Absorption max (dichloromethane): 659 nm (ε 30347). Absorption max: 656 nm (methanol); 661 (phosphate-buffered saline); (ε 42800; 15200).

Therapeutic Category

In treatment of age-related macular degeneration.

Keywords

Macular Degeneration Treatment