8278. Rubber

Nomenclature

Caoutchouc; India rubber.

Description and references

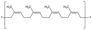
Primarily obtained by coagulating the milk juice (latex) of several tropical trees, chiefly Hevea brasiliensis Muell.-Arg., Euphorbiaceae. Habit. Brazil, East Indies, Java, etc. Rubber also occurs in a number of plants, among which guayule (Parthenium argentatum Gray), a shrub which grows primarily in the northern Mexican desert, represents a potentially useful renewable source. Guayule produces rubber which is chemically identical to Hevea rubber in amounts ranging from 10-20% (dry basis) distributed in the roots and stems. See E. Campos-Lopez, J. Polym. Sci. Polym. Lett. Ed. 14, 649 (1976); J. Polym. Sci. Polym. Chem. Ed. 14, 1561 (1976); J. D. Johnson, C. W. Hinman, Science 208, 460 (1980). Possible biosynthesis from acetate through mevalonic acid and isopentenyl pyrophosphate: Archer et al., Nature 184, 268 (1959). Comprehensive review of chemistry: Ellis, Chem. Ind. (London) 1962, 1447. Book: L. G. Polhamus, Rubber (Wiley, New York, 1962). Review: Jirgenson's, Natural Organic Macromolecules (Pergamon Press, New York, 1962) pp 115-124; D. R. St. Cyr in Kirk-Othmer Encyclopedia of Chemical Technology vol. 20 (Wiley-Interscience, New York, 3rd ed., 1982) pp 468-491. Natural rubber is defined as a cis-1,4-polyisoprene with a molecular weight varying from 100,000 to one million.

Chemical structure

Properties

The best grades of raw rubber (pale crepe or smoked sheet) contain ≈95% rubber hydrocarbon. The rest consists of proteins (2-3%), acetone-sol resins and fatty acids (2%), small amounts of sugar and a little mineral matter. Vulcanization, which consists of heating rubber with 1-3% of sulfur, introduces cross links between chains to produce a three-dimensional lattice of improved elasticity, strength, and temp sensitivity. Accelerators such as zinc dimethyldithiocarbamate greatly decrease the time or lower the temp required for vulcanization. Pure rubber is nearly colorless and transparent in thin layers; odorless and tasteless. It is very elastic and lighter than water. Dec at about 120°. Burns with smoky flame. Emits characteristic offensive odor while burning. Practically insol in water, alcohol, dil acids, or alkali; sol in abs ether, chloroform, most fixed and volatile oils, petr ether, carbon disulfide, oil of turpentine.