8305. Rutinose

Nomenclature

CAS number: 90-74-4
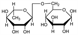
6-O-(6-Deoxy-α-l-mannopyranosyl)-d-glucose; 6-O-α-l-rhamnosyl-d-glucose.
C12H22O10; mol wt 326.30.
C 44.17%, H 6.80%, O 49.03%.

Description and references

A disaccharide present in glycosides. Prepn from rutin by enzymatic hydrolysis using rhamnodiastase: Charaux, Compt. Rend. 178, 1312 (1924); Bull. Soc. Chim. Biol. 6, 634 (1924); Zemplén, Gerecs, Ber. 68B, 1320 (1935). Synthesis: eidem, Ber. 67B, 2049 (1934); 68B, 1318 (1935). Structure: Gorin, Perlin, Can. J. Chem. 37, 1930 (1959).

Chemical structure

Properties

Very hygroscopic powder from alcohol and ether turning into a syrup on exposure to air. The freshly pptd material loses about 6% of its wt at 100°. The dried rutinose softens around 140°, dec 189-192°. [α]D20 +3.2° → +0.8° (c = 4 in water). [α]D20 -10° (95% alc). Very sol in water. Sol in alc. Hydrolysis with dil HCl yields 1 mol l-rhamnose and 1 mol d-glucose.

Derivative

Heptaacetylrutinose.

Properties

mp 169-170°. [α]D20 -27.7° (chloroform).