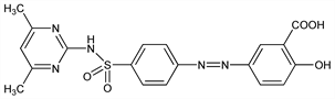
8321. Salazosulfadimidine

Nomenclature

CAS number: 2315-08-4
5-[[4-[[(4,6-Dimethyl-2-pyrimidinyl)amino]sulfonyl]phenyl]azo]-2-hydroxybenzoic acid; 5-[p-[(4,6-dimethyl-2-pyrimidinyl)sulfamoyl]phenylazo]salicylic acid; 4′-(4,6-dimethylpyrimidin-2-ylsulfamoyl)-4-hydroxyazobenzene-3-carboxylic acid; 5-[p-[(4,6-dimethyl-2-pyrimidinyl)aminosulfonyl]phenylazo]salicylic acid; salicylazosulfadimidine; salicylazosulfamethazine; Azudimidine (Pharmacia).
C19H17N5O5S; mol wt 427.43.
C 53.39%, H 4.01%, N 16.38%, O 18.72%, S 7.50%.

Description and references

Prepn: Korkuczanski, Przem. Chem. 37, 162 (1958), C.A. 52, 13727 (1958); Malatesta, Lotti, Ann. Chim. (Rome) 50, 114 (1960), C.A. 56, 8613g (1962).

Chemical structure

Properties

Brown crystals, mp 207°.

Therapeutic Category

Antibacterial.

Keywords

Antibacterial (Synthetic); Sulfonamides