8360. Santonic Acid

Nomenclature

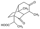
CAS number: 510-35-0
S,1R,3aS,4R,5S,7aS)-Octahydro-α,3a,5-trimethyl-6,8-dioxo-1,4-methano-1H-indene-1-acetic acid; hexahydro-α,3a,5-trimethyl-6,8-dioxo-1,4-methanoindan-1-acetic acid.
C15H20O4; mol wt 264.32.
C 68.16%, H 7.63%, O 24.21%.

Description and references

Prepd from santonin by the action of hot concd aq bases, preferably potassium hydroxide: v. Oettingen, Dissertation, G"ottingen, 1913; Woodward et al., J. Am. Chem. Soc. 70, 4216 (1948). Structure: Wedekind, Engel, J. Prakt. Chem. 139, 115 (1934); Woodward et al., loc. cit.; Woodward, Yates, Chem. Ind. (London) 1954, 1391. Chemistry: Hortmann, Daniel, J. Org. Chem. 37, 4446 (1972).

Chemical structure

Properties

Crystals from water or alcohol, mp 170-172°; bp15 285°; [α]D20 -74.0° (chloroform). Soluble in 190 parts of water at 17°. Freely sol in alc, chloroform, ether, glacial acetic acid.