8364. Saponarin

Nomenclature

CAS number: 20310-89-8
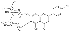
6-β-d-Glucopyranosyl-7-(β-d-glucopyranosyloxy)-5-hydroxy-2-(4-hydroxyphenyl)-4H-1-benzopyran-4-one.
C27H30O15; mol wt 594.52.
C 54.55%, H 5.09%, O 40.37%.

Description and references

From leaves of Saponaria officinalis L., Caryophyllaceae: Barger, J. Chem. Soc. 89, 1210 (1906); from Hibiscus syriacus L., Malvaceae: Nakoaki, J. Pharm. Soc. Jpn. 64, 304 (1944), C.A. 46, 108d (1952); from Lemna (Spirodela) oligorrhiza Kurz., Lemnaceae: Jurd et al., Arch. Biochem. Biophys. 67, 284 (1957). Structure: Seikel, Geissman, ibid. 71, 17 (1957). Revised structure: H"orhammer et al., Tetrahedron Lett. 1965, 1707. On acidic hydrolysis yields the aglycone, saponaretin.

Chemical structure

Derivative

Monohydrate.

Properties

Pale yellow granules, mp 228°. [α]D -7.9° (aq pyridine). uv max (ethanol): 335, 272 nm. Practically insol in cold water. Sparingly sol in hot water, alcohol; sol in alkalies with yellow color and in concd H2SO4 with blue fluorescence; sol in pyridine.