8443. Semduramicin

Nomenclature

CAS number: 113378-31-7
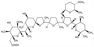
(2R,3S,4S,5R,6S)-Tetrahydro-2,4-dihydroxy-6-[(1R)-1-[(2S,5R,7S,8R,9S)-9-hydroxy-2,8-dimethyl-2-[(2S,2′R,3′S,5R,5′R)-octahydro-2-methyl-5′-[(2S,3S,5R,6S)-tetrahydro-6-hydroxy-3,5,6-trimethyl-2H-pyran-2-yl]-3′-[[(2S,5S,6R)-tetrahydro-5-methoxy-6-methyl-2H-pyran-2-yl]oxy][2,2′-bifuran]-5-yl]-1,6-dioxaspiro[4.5]dec-7-yl]ethyl]-5-methoxy-3-methyl-2H-pyran-2-acetic acid; UK-61689.
C45H76O16; mol wt 873.08.
C 61.91%, H 8.77%, O 29.32%.

Description and references

Semi-synthetic polyether ionophore antibiotic. Prepn: A. C. Goudie, N. D. A. Walshe, EP 255335; eidem, US 4804680 (1988, 1989 both to Pfizer). LC determn in poultry liver: J. F. Ericson et al., J. AOAC Int. 77, 577 (1994). Metabolism and tissue residue studies in broiler chickens: M. J. Lynch et al., ACS Symp. Ser. 503, 49-69 (1992). Anticoccidial effects in chickens: M. E. McKenzie et al., Poult. Sci. 72, 2052 (1993); N. B. Logan et al., ibid. 2058.

Chemical structure

Derivative

Sodium salt.

Nomenclature

CAS number: 119068-77-8
UK-61689-2; Aviax (Pfizer).
C45H75NaO16; mol wt 895.06.
C 60.38%, H 8.45%, Na 2.57%, O 28.60%.

Properties

Crystals from isopropyl ether. mp 175-176°. [α]D25 +19.3° (c = 0.5 in methanol).

Therapeutic Category (Veterinary)

Coccidiostat.