8481. Shionone

Nomenclature

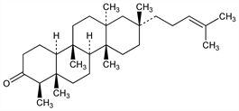
CAS number: 10376-48-4
(1R,4aS,4bS,6aS,8R,10aR,10bS,12aS)-Hexadecahydro-1,4b,6a,8,10a,12a-hexamethyl-8-(4-methyl-3-pentenyl)-2(1H)-chrysenone; D:A-friedo-18,19-secolup-19-en-3-one; 3β,5α,8,17aβ-tetramethyl-3-(4-methyl-3-pentenyl)-D-homoandrostan-17-one.
C30H50O; mol wt 426.72.
C 84.44%, H 11.81%, O 3.75%.

Description and references

From Aster tartaricus L., Compositae: Nakaoki, J. Pharm. Soc. Jpn. 52, 499 (1932); C.A. 26, 48214 (1932); Takahashi et al., ibid. 79, 1281 (1959); C.A. 54, 4667g (1960). Structure: Y. Tanahashi et al., Bull. Soc. Chim. Fr. 1966, 1670. Conformation: Y. Moriyama et al., ibid. 1968, 2890.

Chemical structure

Properties

Crystals from alc, mp 161-162°. [α]D26.5 -56.1° (c = 1.07 in chloroform). uv max (chloroform): 290 nm (log ε 1.47).