8483. Shvo Catalyst

Nomenclature

CAS number: 104439-77-2
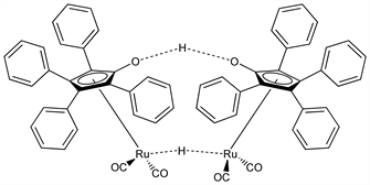
Tetracarbonyl-μ-hydro[(1,2,3,4,5-η)-1-hydroxylato-2,3,4,5-tetraphenyl-2,4-cyclopentadien-1-yl][(1,2,3,4,5-η)-1-hydroxy-2,3,4,5-tetraphenyl-2,4-cyclopentadien-1-yl]diruthenium; [(η4-tetracyclone)(CO)2Ru]2.
C62H42O6Ru2; mol wt 1085.13.
C 68.62%, H 3.90%, O 8.85%, Ru 18.63%.

Description and references

Diruthenium catalyst especially for hydrogen-transfer reactions. Prepn: Y. Blum, Y. Shvo, J. Organomet. Chem. 282, C7 (1985); Y. Shvo et al., J. Am. Chem. Soc. 108, 7400 (1986). X-ray structure study: M. J. Mays et al., Organometallics 8, 1162 (1989). Mechanism of hydrogen transfer: J. B. Johnson, J.-E. B"ackvall, J. Org. Chem. 68, 7681 (2003). Catalytic disproportionation of aldehydes: N. Menashe, Y. Shvo, Organometallics 10, 3885 (1991). Resolution of alcohols: B. A. Persson et al., J. Am. Chem. Soc. 121, 1645 (1999); oxidation of alcohols: J. H. Choi et al., Tetrahedron Lett. 45, 4607 (2004). Brief review: R. Prabhakaran, Synlett 2004, 2048-2049.

Chemical structure

Properties

Orange crystalline solid.

Use

Catalyst in organic syntheses for hydrogen transfers including disproportionation of aldehydes, reduction of ketones and aldehydes, oxidation and/or racemization of alcohols and amines.