8548. Sirius Red

Nomenclature

CAS number: 2610-10-8
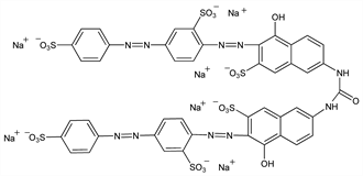
7,7′-(Carbonyldiimino)bis[4-hydroxy-3-[[2-sulfo-4-[(4-sulfophenyl)azo]phenyl]azo]-2-naphthalenesulfonic acid] hexasodium salt; C.I. 35780; C.I. Direct Red 80; Sirius Red F3B.
C45H26N10Na6O21S6; mol wt 1373.07.
C 39.36%, H 1.91%, N 10.20%, Na 10.05%, O 24.47%, S 14.01%.

Description and references

Sulphonated tetrakisazo dye. Dye molecules bind parallel to helical native collagen. Water and light stability: J. J. Porter, Text. Res. J. 43, 735 (1973). Spectral study: J. P. Hart, W. F. Smyth, Spectrochim. Acta 36A, 279 (1980). Staining mechanisms: L. Feldskov Nielsen et al., Biotech. Histochem. 73, 71 (1998). Use as stain for collagen: F. Sweat et al., Arch. Pathol. 78, 69 (1964); D. A. Lee et al., J. Mater. Sci. Mater. Med. 9, 47 (1998).

Chemical structure

Properties

uv max (buffered): 220, 235, 290 nm (ε 1.2 × 104, 1.3 × 104, 1.2 × 104). vis max (buffered): 420, 520, 545 nm (ε 0.8 × 104, 2.5 × 104, 2.6 × 104). pK1-6 < 2; pK7.8 >13.

Use

Stain for connective tissue. Dye for cellulose fibers.