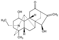
8717. Songorine

Nomenclature

CAS number: 509-24-0
(1α,15β)-21-Ethyl-1,15-dihydroxy-4-methyl-16-methylene-7,20-cycloveatchan-12-one; napellonine; zongorine.
C22H31NO3; mol wt 357.49.
C 73.91%, H 8.74%, N 3.92%, O 13.43%.

Description and references

From Aconitum songoricum Popov, Ranunculaceae: Yunusov, J. Gen. Chem. USSR 18, 515 (1948); Kuzovkov, ibid. 23, 504 (1953); 25, 2006 (1955). Identity with napellonine: Kuzovkov, Zh. Obshch. Khim. 28, 2283 (1958); 29, 1728 (1959). Structure: Sugasawa, Chem. Pharm. Bull. 9, 889, 897 (1961). Absolute configuration: Okamoto et al., ibid. 13, 1270 (1965). Synthesis of the aromatic intermediate: Wiesner et al., Can. J. Chem. 51, 3978 (1973). Pharmacology: Sadritdinov, Farmakol. Alk. No. 312 (1965), C.A. 66, 93772d (1967). Mass spectra data: Yunusov et al., Khim. Prir. Soedin. 6, 101 (1970), C.A. 73, 131178u (1970). Pharmacology and toxicity data: N. G. Bisset, J. Ethnopharmacol. 4, 247-336 (1981).

Chemical structure

Properties

Crystals, mp 201-202°. [α]D20 135.4°. uv max: 290 nm (log ε 2.6). LD50 in mice (mg/kg): 1575 orally, 630 s.c., 485 i.p., 142.5 i.v.; in rats (mg/kg): 407.5 i.p. (Bisset).

Derivative

Hydrochloride.

Properties

Crystals, mp 257-258°. [α]D20 114° (c = 2 in water).