8828. l-Streptose

Nomenclature

CAS number: 13008-73-6
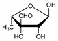
5-Deoxy-3-C-formyl-l-lyxose; 3-C-formyl-5-deoxy-l-lyxofuranose.
C6H10O5; mol wt 162.14.
C 44.45%, H 6.22%, O 49.34%.

Description and references

A sugar which is part of the streptomycin molecule: Kuehl et al., J. Am. Chem. Soc. 68, 2096 (1946). Structure: eidem, ibid. 68, 2679 (1946). Configuration: Wolfrom, DeWalt, ibid. 70, 3148 (1948); Kuehl et al., ibid. 71, 1445 (1949). Biosynthesis: Hough, Jones, Nature 167, 180 (1951). Synthesis of α- and β-l-streptose: Dyer et al., J. Am. Chem. Soc. 87, 654 (1965); Paulsen et al., Ber. 105, 1978 (1972).

Chemical structure

Properties

Colorless, strongly hygroscopic glass. [α]D20 18° (c = 0.65).