8957. Sulfometuron-methyl

Nomenclature

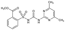
CAS number: 74222-97-2
2-[[[[(4,6-Dimethyl-2-pyrimidinyl)amino]carbonyl]amino]sulfonyl]benzoic acid methyl ester; N-[(4,6-dimethylpyrimidin-2-yl)aminocarbonyl]-2-methoxycarbonylbenzenesulfonamide; 2-[3-(4,6-dimethylpyrimidin-2-yl)ureidosulfonyl]benzoic acid methyl ester; Aa-5648; DPX-5648; Oust (DuPont).
C15H16N4O5S; mol wt 364.38.
C 49.44%, H 4.43%, N 15.38%, O 21.95%, S 8.80%.

Description and references

Nonselective pre- and post-emergence sulfonylurea herbicide for noncropland use; inhibits branched chain amino acid biosynthesis. Prepn: G. Levitt, EP 7687; idem, US 4394506 (1980, 1983 both to Du Pont); idem, Pestic. Chem.: Hum. Welfare Environ., Proc. 5th Int. Congr. Pestic. 1, 243 (1983). Herbicidal activity and toxicity: R. H. Harding et al., Proc. West. Soc. Weed Sci. 34, 120 (1981). Mechanism of action: T. B. Ray, Proc. Br. Crop Prot. Conf. - Weeds 1985, 131. HPLC determn in soil and water: E. W. Zahnow, J. Agric. Food Chem. 33, 479 (1985). Degradation and bioaccumulation studies: J. Harvey et al., ibid. 590; J. J. Anderson, J. J. Dulka, ibid. 596. Field trials: R. L. Atkins et al., Proc. South. Weed Sci. Soc. 36, 300 (1983); in afforested areas: A. Nir, Z. Arenstein, Proc. Br. Crop Prot. Conf. - Weeds 1987, 787.

Chemical structure

Properties

White solid, mp 198-202°. Soly in water at 25° (ppm): 10 at pH 5, 300 at pH 7. pKa 5.7. LD50 in male, female rats (mg/kg): >5000, >5000 orally (Harding).

Use

Herbicide.