9001. Sunset Yellow FCF

Nomenclature

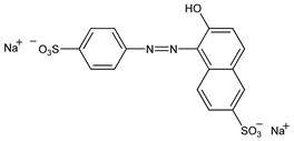
CAS number: 2783-94-0
6-Hydroxy-5-[(4-sulfophenyl)azo]-2-naphthalenesulfonic acid disodium salt; 1-p-sulfophenylazo-2-naphthol-6-sulfonic acid disodium salt; FD & C Yellow No. 6; C.I. Food Yellow 3; C.I. 15985.
C16H10N2Na2O7S2; mol wt 452.37.
C 42.48%, H 2.23%, N 6.19%, Na 10.16%, O 24.76%, S 14.18%.

Description and references

Prepn: P. Griess, Ber. 11, 2191 (1878). Metabolism: J. L. Radomski, T. J. Mellinger, J. Pharmacol. Exp. Ther. 136, 259 (1962). Toxicology: I. F. Gaunt et al., Food Cosmet. Toxicol. 5, 747 (1967); 7, 9 (1969); 12, 1 (1974). Review: IARC Monographs 8, 257-266 (1967). See also: Colour Index vol. 4 (3rd ed., 1971) p 4087.

Chemical structure

Properties

Orange-red crystals. Absorption max (0.02 N CH3COONH4): 480 nm. Sol in water; slightly sol in ethanol. Reddish-orange soln in conc H2SO4, changing to yellow on dilution. LD50 in rats, mice (g/kg): >10, >6 orally (Gaunt, 1967).

Use

Provisionally listed for use in food, drugs and cosmetics.