9011. Sydnones

Nomenclature

CAS number: 50927-09-8

Description and references

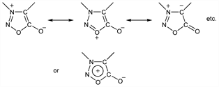
A term originally applied to the compd obtained by action of acetic anhydride on N-nitrosophenylglycine: Eade, Earl, J. Chem. Soc. 1946, 591; Earl, Chem. Ind. (London) 1953, 746. Sydnones are 5-membered heterocyclic mesoionic compounds that are best represented by polar resonance structures: W. Baker, W. D. Ollis, Q. Rev. Chem. Soc. 11, 15 (1957); Y. Noel, Bull. Soc. Chim. Fr. 1964, 173. Photochromic properties: S. Nespurek, M. Sorm, Collect. Czech. Chem. Commun. 42, 811 (1977). 14N-NMR study: L. Stefaniak, Tetrahedron 33, 2571 (1977). 15N-NMR study: L. Stefaniak et al., Org. Magn. Reson. 13, 274 (1980). Regioselectivity study: A. Padwa et al., J. Org. Chem. 47, 786 (1982). Review of chemistry: F. H. C. Stewart, Chem. Rev. 64, 129-147 (1964).

Chemical structure