9111. Tefluthrin

Nomenclature

CAS number: 79538-32-2
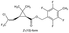
(1R,3R)-rel-3-[(1Z)-2-Chloro-3,3,3-trifluoro-1-propenyl]-2,2-dimethylcyclopropanecarboxylic acid (2,3,5,6-tetrafluoro-4-methylphenyl)methyl ester; (±)-cis-4-methyltetrafluorobenzyl 3-(2-chloro-3,3,3-trifluoro-prop-1-en-1-yl)-2,2-dimethylcyclopropane carboxylate; 2,3,5,6-tetrafluoro-4-methylbenzyl-(Z)-(1RS,3RS)-3-(2-chloro-3,3,3-trifluoro-1-propenyl)-2,2-dimethylcyclopropanecarboxylate; JF-6064; PP-993; R-151993; Force (Syngenta); Forza (Zeneca Ag Prod); Komet (Zeneca Ag Prod).
C17H14ClF7O2; mol wt 418.73.
C 48.76%, H 3.37%, Cl 8.47%, F 31.76%, O 7.64%.

Description and references

Synthetic pyrethroid insecticide. Prepn: N. Punja, EP 31199; idem, US 4405640 (1981, 1983 both to ICI). Evaluation as seed treatment: G. J. Marrs, R. F. S. Gordon, Br. Crop Prot. Counc. Monogr. 39, 17 (1988); for sugar beet: D. Cooke et al., Br. Sugar Beet Rev. 59, 30 (1991). Effects on non-target organisms: J. M. Coulson et al., Brighton Crop Prot. Conf. - Pests Dis. 1990, 975; A. M. Dewar et al., ibid. 987. Review of properties and insecticidal activity: M. Konradt, C. Hemmen, Gesunde Pflanz. 44, 64-68 (1992); of toxicology and human exposure: Toxicological Profile for Pyrethrins and Pyrethroids (PB2004-100004, 2003) 332 pp.

Chemical structure

Properties

Solid, mp 44°. d 1.48 g/cm3. bp1.33hPa 156°. Vapor pressure (20°): 8 × 10-6 mPa. Soly in water: 2 × 10-2 mg/l; in acetone, dichloromethane, hexane and toluene: >500 g/l. LD50 technical grade in rats (mg/kg): 35 orally; 200-1000 dermally (Marrs, Gordon).

Use

Insecticide.