9272. Thapsigargin

Nomenclature

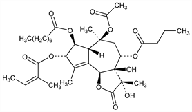
CAS number: 67526-95-8
Octanoic acid [3S-[3α,3aβ,4α,6β,6aβ,7β,8α(Z),9bα]]-6-(acetyloxy)-2,3,3a,4,5,6,6a,7,8,9b-decahydro-3,3a-dihydroxy-3,6,9-trimethyl-8-[(2-methyl-1-oxo-2-butenyl)oxy]-2-oxo-4-(1-oxobutoxy)azuleno[4,5-b]furan-7-yl ester; thapsigargine; Tg.
C34H50O12; mol wt 650.75.
C 62.75%, H 7.74%, O 29.50%.

Description and references

Sesquiterpene lactone which inhibits intracellular Ca2+ transport ATPases. Isolated from the root of Thapsia garganica L., Apiaceae, traditionally used as a counter-irritant: U. Rasmussen et al., Acta Pharm. Suec. 15, 133 (1978). Structure elucidation: S. B. Christensen et al., Tetrahedron Lett. 21, 3829 (1980); stereochemistry from x-ray analysis: idem et al., J. Org. Chem. 47, 649 (1982). Absolute configuration: S. B. Christensen, E. Norup, Tetrahedron Lett. 26, 107 (1985). Inhibition of ATPases: J. Lytton et al., J. Biol. Chem. 266, 17067 (1991). Effect on gene expression: K. D. Rodland et al., Mol. Endocrinol. 11, 281 (1997). Review of mechanism of action: G. Inesi, Y. Sagara, Arch. Biochem. Biophys. 298, 313-317 (1992). Review of use as molecular probe: O. Thastrup et al., Agents Actions 27, 17-23 (1989); T. B. Rogers et al., Biosci. Rep. 15, 341-349 (1995).

Chemical structure

Properties

Colorless amorphous powder.

Use

Reagent for defining and manipulating intracellular calcium pools.