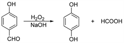
H. D. Dakin, Am. Chem. J. 42, 477 (1909).
Replacement of the formyl or acetyl groups in phenolic aldehydes or ketones by a hydroxyl group by means of hydrogen peroxide:

J. E. Leffler, Chem. Rev. 45, 385 (1949). Mechanistic studies: M. B. Hocking, et al., Can. J. Chem. 55, 102 (1977); eidem, ibid. 56, 2646 (1978); M. B. Hocking et al., J. Org. Chem. 47, 4208 (1982). Sodium percarbonate as oxidizing reagent: G. W. Kabalka et al., Tetrahedron Lett. 33, 865 (1992).