9352. Thiophanate

Nomenclature

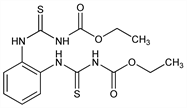
CAS number: 23564-06-9
[1,2-Phenylenebis(iminocarbonothioyl)]biscarbamic acid diethyl ester; 4,4′-o-phenylenebis[3-thioallophanic acid]diethyl ester; 1,2-bis(3-ethoxycarbonyl-2-thioureido)benzene; Cercobin (Nippon Soda); Topsin (Nippon Soda); Nemafax (Rhne-Mérieux).
C14H18N4O4S2; mol wt 370.45.
C 45.39%, H 4.90%, N 15.12%, O 17.28%, S 17.31%.

Description and references

Prepn: T. Noguchi et al., DE 1806123; eidem, US 4020095 (1969, 1977 both to Nippon Soda Co.). Photodegradation: H. Buchenauer et al., Pestic. Sci. 5, 343 (1973). Activity vs nematode infection in ruminants: Eichler, Br. Vet. J. 129, 533 (1973). Toxicology in animals: idem, ibid. 130, 570 (1974).

Chemical structure

Properties

Colorless plates from acetone, dec 194°. LD50 orally in mice and rats: >15 g/kg (Eichler).

Derivative

O,O-Dimethyl analog.

Nomenclature

CAS number: 23564-05-8
Thiophanate-methyl; Cercobin-M (Nippon Soda); Topsin-M (Nippon Soda).
C12H14N4O4S2; mol wt 342.39.
C 42.09%, H 4.12%, N 16.36%, O 18.69%, S 18.73%.

Description and references

Prepn: T. Noguchi et al., loc. cit. Persistence in soil: J. R. Fleeker et al., J. Agric. Food Chem. 22, 592 (1974). Pharmacology, toxicity: Y. Hashimoto et al., Toxicol. Appl. Pharmacol. 23, 606, 616 (1972).

Properties

Colorless prisms, mp 181.5-182.5°. Sol in acetone, methanol, chloroform, acetonitrile; slightly sol in other organics. Practically insol in water. LD50 in rats, mice, guinea pigs, rabbits (g/kg): 3.40, 6.64, 3.64, 2.27 orally (Hashimoto).

Use

Systemic fungicide.

Therapeutic Category (Veterinary)

Anthelmintic (Nematodes).