9516. Toliprolol

Nomenclature

CAS number: 2933-94-0
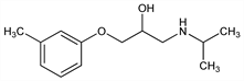
1-[(1-Methylethyl)amino]-3-(3-methylphenoxy)-2-propanol; 1-(isopropylamino)-3-(m-tolyloxy)-2-propanol; 1-(3-methylphenoxy)-3-(isopropylamino)-2-propanol; 1-(3-methylphenoxy)-2-hydroxy-3-isopropylaminopropane; MHIP.
C13H21NO2; mol wt 223.31.
C 69.92%, H 9.48%, N 6.27%, O 14.33%.

Description and references

β-Adrenergic blocker. Prepn: NL 6409883; H. Koppe et al., US 3459782 (1965, 1969 both to Boehringer, Ing.); NL 6410522; R. Howe, US 3432545 (1965, 1969 both to I.C.I.). The ()-isomer is the more potent adrenergic β-receptor antagonist. Resolution of isomers: Howe, Rao, J. Med. Chem. 11, 1118 (1968). Structure-activity studies: Crowther et al., ibid. 12, 638 (1969); Somani, Laddu, Eur. J. Pharmacol. 14, 209 (1971). Metabolism: Stock, Westermann, Biochem. Pharmacol. 14, 227 (1965). Review of pharmacology and clinical data: Marmo et al., Clin. Ter. 62, 11-51, 117-163 (1972).

Chemical structure

Properties

Crystals from ethyl acetate-petr ether, mp 75-76°. Also reported as mp 79°.

Derivative

Hydrochloride.

Nomenclature

CAS number: 306-11-6
ICI-45763; Ko-592; Doberol (Boehringer, Ing.); Sinorytmal (Giulini).
C13H22NO2.HCl; mol wt 260.78.
C 59.87%, H 8.89%, N 5.37%, O 12.27%, Cl 13.59%.

Properties

Crystals from ethanol-ether, mp 120-121°. uv max (water): 270 nm (E1%1cm 49.8).

Therapeutic Category

Antianginal, antihypertensive.

Keywords

β-Adrenergic Blocker; Antianginal; Antihypertensive; Aryloxypropanolamine Derivatives