9547. Topiramate

Nomenclature

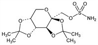
CAS number: 97240-79-4
2,3:4,5-Bis-O-(1-methylethylidene)-β-d-fructopyranose 1-sulfamate; 2,3:4,5-di-O-isopropylidene-β-d-fructopyranose sulfamate; McN-4853; RWJ-17021-000; Topamax (Ortho).
C12H21NO8S; mol wt 339.36.
C 42.47%, H 6.24%, N 4.13%, O 37.72%, S 9.45%.

Description and references

Sulfamate substituted monosaccharide; structurally distinct antiepileptic agent. Prepn: B. E. Maryanoff, J. F. Gardocki, US 4513006 (1985 to McNeil); and anticonvulsant activity: B. E. Maryanoff et al., J. Med. Chem. 30, 880 (1987). GC determn in plasma: M. L. Holland et al., J. Chromatogr. 433, 276 (1988). Comparative pharmacokinetics: M. Bialer, Clin. Pharmacokinet. 24, 441 (1993). Series of articles on pharmacology and clinical experience in epilepsy: Epilepsia 38, Suppl. 1, 1-62 (1997). Review of clinical trials in migraine prevention: G. Bussone et al., Int. J. Clin. Pract. 59, 961-968 (2005); of pharmacology and clinical experience: S. D. Silberstein et al., Clin. Ther. 27, 154-165 (2005). Clinical trial in binge eating disorder: S. L. McElroy et al., Biol. Psychiatry 61, 1039 (2007); in chronic migraine: S. D. Silberstein et al., Headache 47, 170 (2007).

Chemical structure

Properties

White crystalline powder; bitter taste. Crystals from ethyl acetate + hexane, mp 125-126°. [α]D23 34.0° (c = 0.4 in methanol). Most sol in alkaline solns containing NaOH or sodium phosphate, pH 9-10. Freely sol in acetone, chloroform, DMSO, ethanol. Soly in water: 9.8mg/ml.

Therapeutic Category

Anticonvulsant; antimigraine.

Therapeutic Category (Veterinary)

Anticonvulsant.

Keywords

Anticonvulsant; Antimigraine