G. Darzens, Compt. Rend. 150, 707 (1910); C. D. Nenitzescu, I. P. Cantuniari, Ann. 510, 269 (1934); C. D. Nenitzescu, C. Cioranescu, Ber. 69, 1820 (1936).
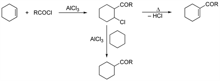
Acylation of olefins with acid chlorides or anhydrides catalyzed by Lewis acids. When performed in the presence of a saturated hydrocarbon the product is the saturated ketone:

G. A. Olah, Friedel-Crafts and Related Reactions vol. 1 (Interscience, New York, 1963) p 129; C. D. Nenitzescu, A. T. Balaban, ibid. vol. 3, Part 2, 1069 (1964); L. tvs et al., Acta Chim. Acad. Sci. Hung. 71(2), 193 (1972); H. O. House, Modern Synthetic Reactions (W. A. Benjamin, Menlo Park, California, 2nd ed., 1972) p 786; J. K. Groves, Chem. Soc. Rev. 1, 73 (1972). Synthetic applications: D. Villemin, B. Labiad, Synth. Commun. 22, 3181 (1992); S. Nakanishi et al., ibid. 28, 1967 (1998). Cf. Friedel-Crafts Reaction; Nencki Reaction; Nenitzescu Reductive Acylation.