9621. Tricaine

Nomenclature

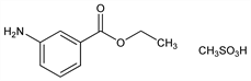
CAS number: 886-86-2
3-Aminobenzoic acid ethyl ester methanesulfonate; tricaine methanesulfonate; ethyl m-aminobenzoate methanesulfonate; MS-222; Finquel (Argent).
C10H15NO5S; mol wt 261.29.
C 45.97%, H 5.79%, N 5.36%, O 30.62%, S 12.27%.

Description and references

Prepn: DE 454698; O. Billeter et al., US 1678317 (both 1928 to Sandoz). Pharmacology in fish: D. W. Jolly et al., Vet. Rec. 91, 424 (1972). Blood concentrations during anesthetization and recovery: A. H. Houston, R. J. Woods, J. Fish Res. Board Can. 29, 1344 (1972). pH effects on anesthetic potency: E. A. Ohr, Comp. Biochem. Physiol. 54C, 13 (1976). Toxicity study: J. M. McKim et al., Environ. Toxicol. Chem. 6, 295 (1987). Use as anesthetic in fish: P. K. Bourne, Aquaculture 36, 313 (1984); on fish larvae: K. C. Massee et al., ibid. 134, 351 (1995); in amphibians: J. Letcher, Zoo Biol. 11, 243 (1992).

Chemical structure

Properties

Fine white needles from alcohol + ethyl acetate, mp 149-150°. Soly in water to 11%; it forms clear colorless acid solns. In ocean water solns are almost neutral. LC50 (96hr) in rainbow trout: 50.50 mg/l (McKim).

Therapeutic Category (Veterinary)

Anesthetic for fish.