9674. Triethyl Phosphate

Nomenclature

CAS number: 78-40-0
Phosphoric acid triethyl ester; ethyl phosphate; triethoxyphosphine oxide.
C6H15O4P; mol wt 182.15.
C 39.56%, H 8.30%, O 35.13%, P 17.00%.

Description and references

Prepd from tetraethyl hypophosphate with ethanol in the presence of aluminum ethoxide: Mukaiyama et al., J. Org. Chem. 27, 1815 (1962). Manuf by treating triethyl phosphite with diethyl hydrogen phosphate: McCall, Coover, US 2960529 (1960 to Kodak).

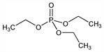
Chemical structure

Properties

Liquid; d19 1.0725; bp 215-216°; bp10 90-95°; nD17 1.4067. Sol in water with some decompn; sol in alcohol, ether.

Use

As ethylating agent; formation of polyesters which are used as insecticides.