9807. Tubocurarine Chloride

Nomenclature

CAS number: 57-94-3
7′,12′-Dihydroxy-6,6′-dimethoxy-2,2′,2′-trimethyltubocuraranium chloride hydrochloride; dextrotubocurarine chloride; Jexin (Evans); Tubarine (GlaxoWellcome).
C37H42Cl2N2O6; mol wt 681.65.
C 65.19%, H 6.21%, Cl 10.40%, N 4.11%, O 14.08%.

Description and references

Arrow tip poison of South American Indians. Induces neuromuscular block through interactions with acetylcholine receptor. Identification as active principle from museum specimen: H. King, J. Chem. Soc. 1935, 1381. Isoln from Chondodendron tomentosum R. & P. Menispermaceae: J. D. Dutcher, J. Am. Chem. Soc. 68, 419 (1946). Purification and structure determn: idem, ibid. 74, 2221 (1952). Revised structure: A. J. Everett et al., Chem. Commun. 1970, 1020. Conformational analysis: B. S. Zhorov, N. B. Brovtsyna, J. Membr. Biol. 135, 19 (1993); by NMR: Y. Fraenkel et al., Biochemistry 33, 644 (1994). Binding characterization: N. Shaker et al., J. Pharmacol. Exp. Ther. 220, 172 (1982); M. E. O'Leary et al., Am. J. Physiol. 266, C648 (1994). Clinical pharmacokinetics and dynamics: D. M. Fisher, Anesthesiology 57, 203 (1982). Toxicity data: H. Rosen et al., Proc. Soc. Exp. Biol. Med. 120, 511 (1965). Clinical trial in prevention of muscle fasciculations: S. C. Harvey et al., Anesth. Analg. 87, 719 (1998). Review of clinial use: G. S. Perotti, J. Am. Assoc. Nurse Anesth. 45, 182-186 (1977). Comprehensive description: C. Papastephanou, Anal. Profiles Drug Subs. 7, 477-500 (1978).

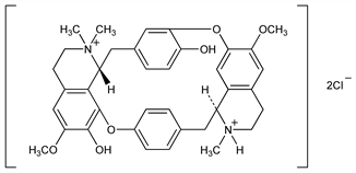
Chemical structure

Properties

Hexagonal and pentagonal microplatelets from water; can exist in the form of various hydrates. The anhydrous material (dec 274-275°) takes up water in moist atm until it reaches the pentahydrate stage, dec ≈270°. uv max (H2O): 280 nm (E1%1cm 118). [α]D20-25 +215° (c = 0.25-0.3 g/100 ml). Soly (25°): ≈50 mg/ml water; but supersatd solns are formed readily. Presence of 1.0N HCl diminishes soly by about one-third. Rather sol in ethanol and methanol. Insol in pyridine, chloroform, benzene, acetone, ether. pK: 7.4. LD50 in mice, rats (mg/kg): 33.2, 27.8 orally in DMSO; 59.5, 36.9 orally in water (Rosen).

Derivative

l-Form.

Description and references

Isoln of l-form from Ch. tomentosum: H. King, Nature 158, 515 (1946); idem, J. Chem. Soc. 1947, 936.

Properties

Needles from water as pentahydrate, mp 268° (effervescence). [α]D20 -258° (c = 0.38) for the anhydr salt.

Therapeutic Category

Neuromuscular blocking agent.

Therapeutic Category (Veterinary)

Neuromuscular blocking agent.

Keywords

Neuromuscular Blocking Agent; Nondepolarizing Agents