9821. Turanose

Nomenclature

CAS number: 547-25-1
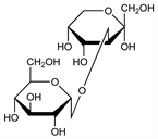
3-O-α-d-Glucopyranosyl-d-fructose; 3-(α-d-glucosido)-d-fructose.
C12H22O11; mol wt 342.30.
C 42.11%, H 6.48%, O 51.41%.

Description and references

Prepd from melezitose: Tanret, Compt. Rend. 142, 1424 (1906); Bridel, Aagard, Bull. Soc. Chim. Biol. 9, 884 (1927); Hudson, Pacsu, J. Am. Chem. Soc. 52, 2522 (1930); Pacsu in Methods in Carbohydrate Chemistry vol. I (Academic Press, New York, 1962) p 353. Structure: Isbell, Pigman, J. Res. Natl. Bur. Stand. 20, 787 (1938); Isbell, ibid. 26, 35 (1941); Hudson, J. Org. Chem. 9, 117, 470 (1944); Hassid, Ballou in The Carbohydrates, W. Pigman, Ed. (Academic Press, New York, 1957) p 508. Crystal structure: A. Neuman et al., Acta Crystallogr. B34, 242 (1978).

Chemical structure

Properties

Nonhygroscopic prisms from water + alc. Very sweet taste. Dec 157°. Shows mutarotation. [α]D20 +27.3° → +75.8° (c = 4 in water). Freely sol in water, methanol. One gram dissolves in 19 ml of 95% alc. Acid hydrolysis yields 1 mol d-glucose and 1 mol d-fructose. Reducing power about 1/2 of d-glucose.