9853. Uranediol

Nomenclature

CAS number: 516-51-8
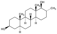
(3β,5α,17α,17aβ)-17-Methyl-D-homoandrostane-3,17a-diol.
C21H36O2; mol wt 320.51.
C 78.69%, H 11.32%, O 9.98%.

Description and references

From pregnant mares' urine: Marker et al., J. Am. Chem. Soc. 60, 210, 1061, 1561, 2719 (1938); Klyne, Biochem. J. 43, 611 (1948); Brooks et al., ibid. 51, 694 (1952). Structure: Klyne, Nature 166, 559 (1950). Formation by acid hydrolysis of 5α-pregnane-3β,20β-diol: Hirschmann, Williams, J. Biol. Chem. 238, 2305 (1963). Configuration: Hirschmann et al., J. Org. Chem. 31, 375 (1966).

Chemical structure

Properties

Needles from aq ethanol, mp 216-219°. Sublimes at 180° and 0.06-0.1 mm. [α]D15 +3.7° (c = 1.8 in chloroform).

Derivative

Diacetate.
C25H40O4; mol wt 404.58.
C 74.22%, H 9.97%, O 15.82%.

Properties

Plates from aq methanol, mp 159.5-160.5°. Sublimes at 190° and 0.1 mm. [α]D20 30.4° (c = 1.4 in chloroform); [α]D22 29.6° (ethanol).

Derivative

Dibenzoate.
C35H44O4; mol wt 528.72.
C 79.51%, H 8.39%, O 12.10%.

Properties

Leaflets from chloroform + methanol, mp 209-210°. [α]D29 +18.6° (c = 1.05 in chloroform). uv max: 230, 272 nm (log ε 4.43, 3.26).